|
|
|
| “豫”見新高考︱三分鐘了解等級賦分計算方法 |
| http://m.scgc168.com 2025年6月22日 來源:河南省教育考試院 |
|
同學們好!這一期,將詳細講解等級賦分的具體算法,內容很關鍵,注意聽講哦!(點擊查看視頻)
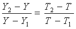
按照《河南省普通高中學業水平選擇性考試科目等級賦分辦法》,思想政治、地理、化學、生物學這4門再選科目每門等級分數的滿分值為100分、起點分值為30分。轉換時,先將每門再選科目考生的原始成績從高到低劃分為A、B、C、D、E共5個等級,各等級人數所占比例分別約為15%、35%、35%、13%和2%。再把A至E等級內的考生原始成績,按照“等比例轉換辦法”,轉換到100——86,85——71,70——56,55——41和40——30五個分數區間,最后會根據轉換公式計算,得到大家的等級分數。
是不是還有些同學不太明白,沒關系,我們舉個例子。2025年,我省考生的化學科目原始成績B等級分布區間為80——64,考生小明原始成績為75分,其原始成績就應該劃分到B等級,對應的等級分數區間就是85——71。小明的具體等級分數應該怎么計算呢?那就要靠這個超給力的公式啦——

其中,Y表示原始成績,即75分;Y1、Y2分別表示原始成績區間的下限和上限,即64分、80分;T1、T2分別表示等級分數區間的下限和上限,即71分、85分;T就是轉換后小明的等級分數。重點來啦!具體計算過程是這樣的,同學們一定要睜大眼睛看清楚——

通過計算,小明化學科目的等級分數為81分。
經過講解,相信大家都成功解鎖等級分數的計算方法啦!無論怎么變化,實力永遠是最大的底氣,祝同學們實力拉滿,夢想成真!
|
關于河南高考更多的相關文章請點擊查看  |
|
| 特別說明:由于各方面情況的不斷調整與變化,華禹教育網(m.scgc168.com)所提供的信息為非商業性的教育和科研之目的,并不意味著贊同其觀點或證實其內容的真實性,僅供參考,相關信息敬請以權威部門公布的正式信息為準。 |
|
|
|
| |